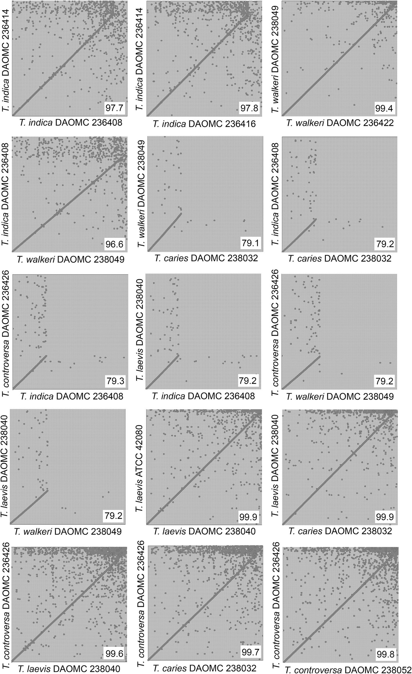
Fig. 1From: Genome sequencing and comparison of five Tilletia species to identify candidate genes for the detection of regulated species infecting wheatMummerplots. Genes predicted from each genome were compared by alignment and the Average Nucleotide Identity (ANI) is shown in the bottom right corner of each comparisonBack to article page